-
Notifications
You must be signed in to change notification settings - Fork 0
Local Merges to Topic Branches
If you want to be able to take advantage of these latest features after the pull request has been adopted, you can integrate them into your local repository. Here's an example:
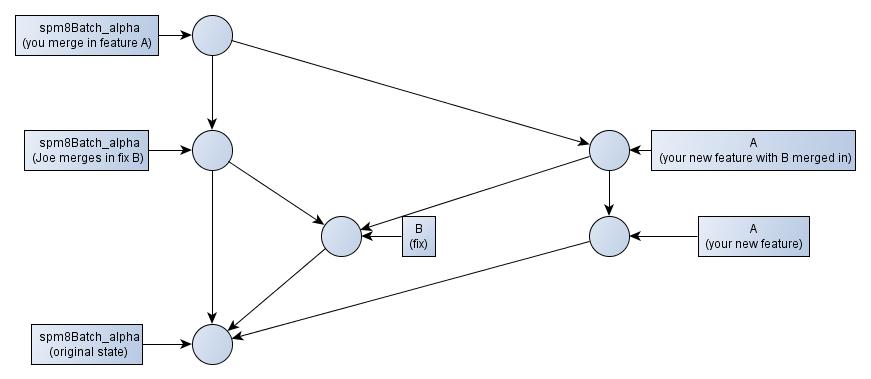
Suppose you are working on some new feature "A" for spm8Batch. You see that Joe has written a bug fix "B" for spm8Batch, and has submitted a pull request to merge "B" into spm8Batch_alpha. Joe will likely go ahead and write a brief description at the pull request of what he's fixing, then accept the pull request himself. If you'd like to take advantage of this bug fix "B" in your work in feature "A", you would do the following.
- Update universe (git fetch universe)
- Merge in the now-updated spm8Batch_alpha into your current A branch (git merge universe/spm8Batch_alpha)
This has the potential side-effect of integrating potentially many other changes in spm8Batch_alpha that you may not want to take advantage of. If you just want to use Joe's fix "B" in your current branch, do the following:
- Update joe-verse (git fetch joeverse)
- Merge in his fix B (git merge joeverse/spm8Batch/B)
Git's smart enough that you can generally merge the same thing in twice without problems, as in the following example, where B gets merged in twice by the time we're done...
