This is a information retrival system used to index the trec-cds data, and do the training and search work. The system is mainly based on Lucene, and the project has contained the jar package of Lucene and some other tools.
- java
- Linux
- shell
- source files
- TransOfFormat : to transform to trec format
- indexing.Indexer : to index files
- trec.SearchTopics
- train the BM25 params
- search topics
- lib
- lucene jar packages
- dom4j
- bin
- java compiled class files
- data directory
- pmc-text : store the extracted source trec files
- index : store index files
- sample_evavl.pl : used to evaluate
- others
- topics
- qrels
- some tmp files
- executable shell script
- compile.sh : to compile java source files
- parse.sh : to parse the file to trec format
- indexing.sh : to index files
- search.sh : to search the topics and generate the result file
- transform files format
- use TransOfFormat tools to transform the files to regular trec files
- index
- use lucene to index the files, and save index to ../data/index
- train params
- traverse b from [b1, b2] and k1 from [k', k'']
- search the topics14.xml, generate a tmp file
- use perl sample_eval.pl to evaluate the tmp file, and compare the NDCG value
- choose the best k1 and b
- search topics15
- use the best k1 and b to do the search
- tool TransOfFormat
- indexing.Indexer.java
- trec.SearchTopics.java
one-key run is
bash run.sh
and can be divided to several parts:
- compile
bash compile.sh
- parse
bash parse.sh
- index
bash index.sh
- search
bash search.sh
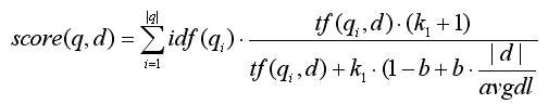
- BM25
- use lucene BM25Similarities
- the params k1 and b are trained with the qrels2014
searcher.setSimilarity(new BM25Similarity(pa.k1, pa.b));- preprocess
- extract the downloaded compressed files to ../data/pmc-text
- use the tool TransFormat to transform the files format
- index
- read the trec format files
- get the DOCID information, and get the text information
- use Lucene index writer to index
- train
- traverse each k1 and b and do search 2014 queries
- compare result choose the best k1 and b
- from the following code, it is obvious that the training set is topics2014.xml
String queries14 = "../data/topics2014.xml";
String queries15 = "../data/topics2015A.xml";
String indexFolder = "../data/index";
String qrelsFile14 = "../data/qrels2014.txt";
String queryResult15A = "../data/queryResult15A.txt";
Param pa = trainBM25Param(queries14, indexFolder, qrelsFile14);- search
- search 2015A queries with the best k1 and b
